HP Spectroscopy - X-ray Absorption Spectroscopy systems

hiXAS integrated XAS solution

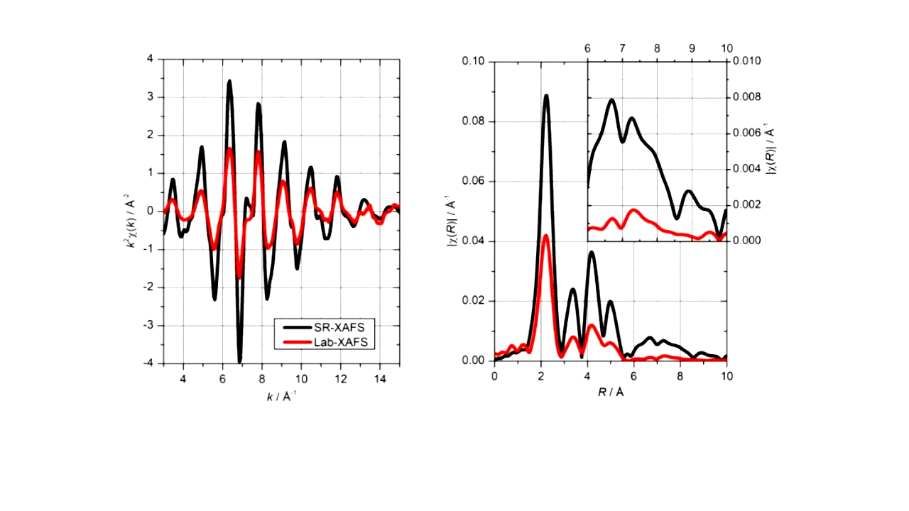
hiXAS offers a complete lab-based solution for Extended X-ray Absorption Fine Structure (EXAFS) and X-ray Absorption Near Edge Structure (XANES) measurements. In a compact footprint, it integrates x-ray tube source, high-resolution spectrometer, and hybri.... More